AVALIAÇÃO DO USO E CONHECIMENTO DE SUPLEMENTOS ALIMENTARES POR ACADÊMICOS DO CURSO DE EDUCAÇÃO FÍSICA
Resumo
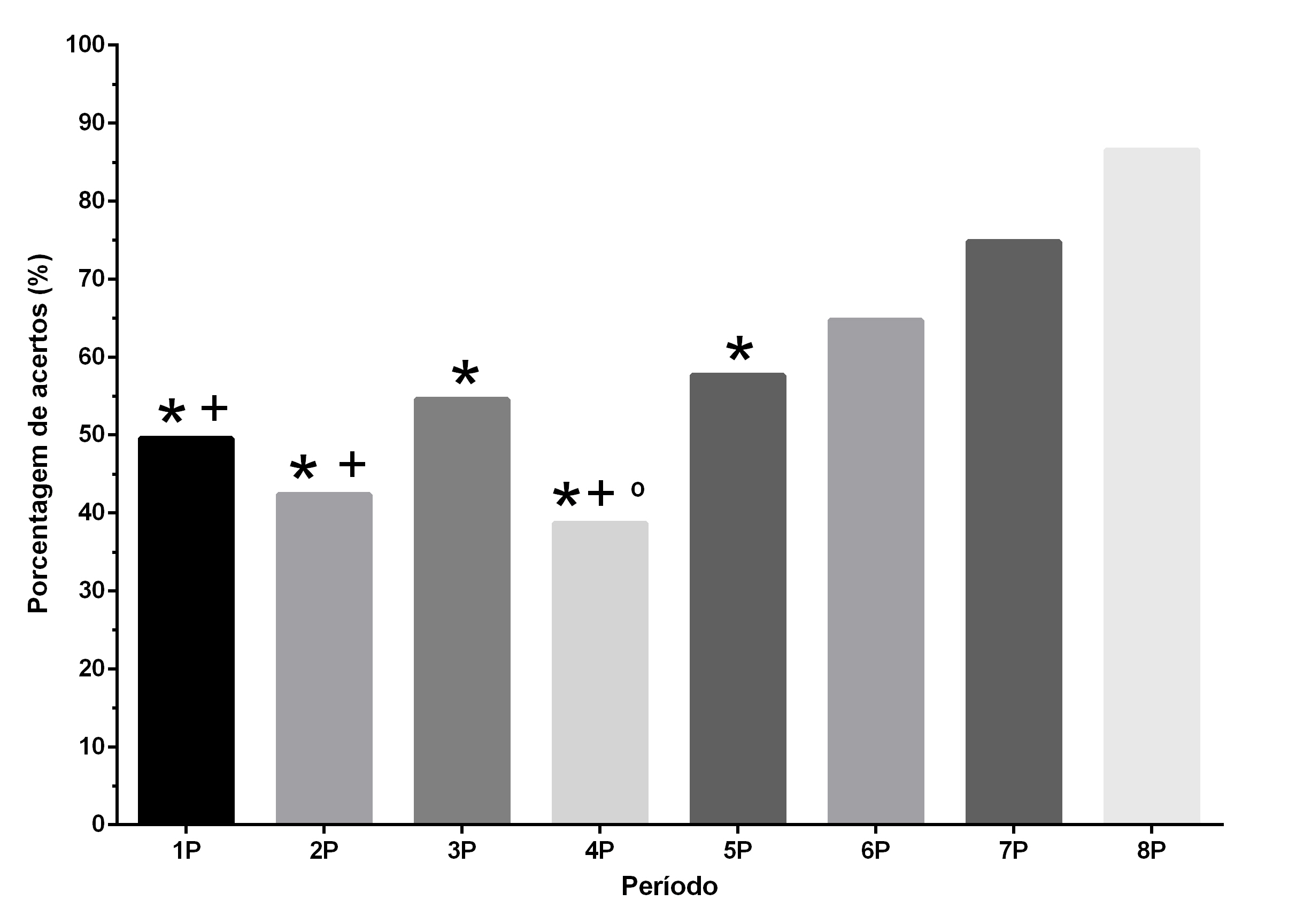
O padrão de consumo de suplementos alimentares, entre outros fatores, ocorre a partir da orientação de instrutores ou professores de educação física com a finalidade estética e\ou de aumentar as metas da massa muscular. Com este estudo foi avaliado o uso e conhecimento de suplementos alimentares em uma amostra de estudantes de graduação de Educação Física. Foi realizado uma entrevista semiestruturada em três etapas: a primeira foi relativa a aspectos socioculturais, na segunda foram feitas perguntas relacionadas à orientação e conhecimento sobre suplementos alimentares, na terceira foi aplicado um teste para relacionar o tipo de suplemento com a sua respectiva função. Foram entrevistados 224 alunos de ambos os gêneros no curso de graduação em educação física, sendo, 45,1% feminino e 54,9% masculino. Destes, 19,6 % relataram uso de suplementos alimentares, e destes a média de acerto das questões da terceira etapa da entrevista foi de 58,7%. Os resultados sugerem um baixo conhecimento sobre suplementos alimentares, havendo assim necessidade de mais conteúdos sobre nutrição esportiva na formação dos educadores físicos.
Copyright (c) 2017 REVISTA CEREUS

This work is licensed under a Creative Commons Attribution-NonCommercial-NoDerivatives 4.0 International License.
DECLARAÇÃO DE TRANSFERÊNCIA DE DIREITOS AUTORAIS
Os autores do manuscrito submetido declaram ter conhecimento que em caso de aceitação do artigo, a Revista Cereus, passa a ter todos os direitos autorais sobre o mesmo. O Artigo será de propriedade exclusiva da Revista, sendo vedada qualquer reprodução, em qualquer outra parte ou meio de divulgação, impressa ou eletrônica.